Pramonės naujienos

Tirpumui ir stabilumui gerinti ciklodekstrino pagrindu pagaminti tirpalai

2025-12-23 - Palikite man žinutę

Tirpumui ir stabilumui gerinti ciklodekstrino pagrindu pagaminti tirpalai

Techninė hidroksipropilo betadekso ir betadex sulfobutilo eterio natrio druskos apžvalga

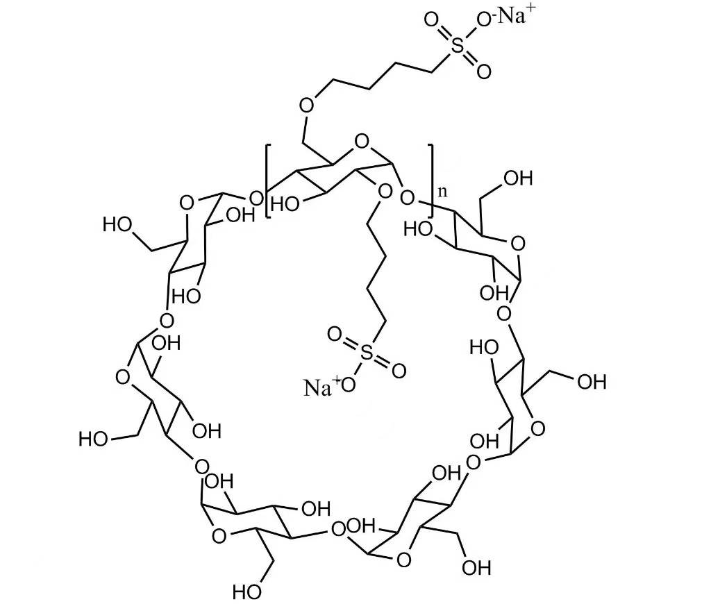
Ciklodekstrinai yra plačiai pripažinti dėl savo gebėjimo pagerinti silpnai tirpių arba chemiškai jautrių junginių tirpumą ir stabilumą. Dėl savo unikalios ciklinės molekulinės struktūros ciklodekstrinai ir jų dariniai tapo svarbiomis funkcinėmis pagalbinėmis medžiagomis farmacijos, chemijos ir susijusiose formulavimo srityse. Reaguodama į didėjančius techninius ir reguliavimo reikalavimus, Xi'an Deli Biochemical toliau patobulino savo pagrindinių ciklodekstrino darinių techninę dokumentaciją ir produkto palaikymą:hidroksipropilo betadeksas (HPBCD) ir betadekso sulfobutilo eterio natrio druska (SBECD).


Ciklodekstrinų struktūrinės charakteristikos ir funkcinės savybės

Ciklodekstrinai yra cikliniai oligosacharidai, sudaryti iš gliukozės vienetų, sujungtų α-1,4 glikozidinėmis jungtimis. Jų molekulinė architektūra pasižymi hidrofiliniu išoriniu paviršiumi ir santykinai hidrofobine vidine ertme, leidžiančia susidaryti inkliuzinių kompleksų su daugybe svečių molekulių. Cheminis ciklodekstrino struktūros modifikavimas gali žymiai padidinti tirpumą vandenyje ir išplėsti taikymo universalumą.


Hidroksipropilo betadeksas (HPBCD)


Hidroksipropilo betadeksas yra chemiškai modifikuotas β-ciklodekstrinas, sukurtas siekiant įveikti ribotą vietinių ciklodekstrinų tirpumą. Dėl didesnio tirpumo vandenyje ir palankaus suderinamumo HPBCD tinka naudoti, kai reikalingas veiksmingas tirpinimas, stabilizavimas ir formulės lankstumas įvairiose sistemose.


Betadex sulfobutilo eterio natrio druska (SBECD)


Betadex sulfobutilo eterio natrio druska yra anijoninis ciklodekstrino darinys, pasižymintis sulfobutilo eterio pakaitais. Ši struktūra sustiprina elektrostatinę sąveiką su konkrečiais junginiais, palaikydama geresnį tirpumą, kompleksinį stabilumą ir formulės tvirtumą sudėtingesniuose pritaikymuose.

Standartizuota gaminio informacija ir techninė pagalba

Siekdama geriau palaikyti formulių kūrimą, kokybės vertinimą ir pirkimo procesus, Xi'an Deli Biochemical sistemingai atnaujino HPBCD ir SBECD produktų informaciją, įskaitant:


  • Aiškiai apibrėžtos ir standartizuotos gaminio specifikacijos ir analitiniai parametrai
  • Serijai būdingi analizės sertifikatai (COA), užtikrinantys atsekamumą ir kokybės patikrinimą
  • Išplėsti techniniai DUK, susiję su tvarkymu, saugojimu ir tipinėmis taikymo problemomis
  • Optimizuotos produktų santraukos, sukurtos palengvinti veiksmingą techninę peržiūrą ir pasirinkimą


Šiais patobulinimais siekiama padidinti skaidrumą, sutrumpinti vertinimo terminus ir palaikyti nuoseklų gaminio veikimą per visą tiekimo ciklą.


Gamybos patirtis ir kokybės užtikrinimas

Įkurta 1999 m., Xi'an Deli Biochemical turi 26 metų ciklodekstrino darinių gamybos patirtį. Bendrovė orientuojasi į kontroliuojamą hidroksipropilo betadekso ir betadekso sulfobutilo eterio natrio druską, akcentuodama proceso nuoseklumą, partijų patikimumą ir ilgalaikį tiekimo stabilumą. Struktūrinė kokybės valdymo praktika palaiko klientų techninius, reguliavimo ir tiekimo reikalavimus.


Taikymo sritis ir techninis bendradarbiavimas

Remiantis ciklodekstrino įtraukimo ir stabilizavimo mechanizmais, HPBCD ir SBECD yra taikomi įvairiose techninėse srityse, įskaitant su farmacija susijusias formules, specialias chemines medžiagas, veterinarinius produktus ir kitas sistemas, kurioms reikalingas didesnis tirpumas ir stabilumas. „Xi'an Deli Biochemical“ ir toliau bendradarbiauja su partneriais, bendradarbiaudama į programas ir bendradarbiaudama techniniu būdu, kad palaikytų besikeičiančius formulavimo poreikius.


Apie Xi'an Deli biochemijos pramonės įmones

Xi'an Deli Biochemical Industry Companies, įkurta 1999 m., yra specializuota ciklodekstrino darinių gamintoja, tiekianti hidroksipropilo betadeksą (HPBCD) ir betadekso sulfobutilo eterio natrio druską (SBECD) pasauliniams klientams. Ilgą laiką koncentruodama dėmesį į produkto nuoseklumą, aiškias specifikacijas ir praktinę techninę pagalbą, įmonė ir toliau yra įsipareigojusi teikti patikimus ciklodekstrino pagrindu pagamintus sprendimus.


Jei norite, taip pat galiu:


  • Toliau optimizuokite tai „Google“ SEO (nesumažindami techninio tono)
  • Sutraukite jį į produkto puslapio „Techninio atnaujinimo“ versiją
  • Pritaikykite jį reguliuojantiems / į kokybę orientuotiems klientams


Tiesiog pasakykite man, kur planuojate jį paskelbti.


Siųsti užklausą


icon
X
Naudojame slapukus siekdami pasiūlyti geresnę naršymo patirtį, analizuoti svetainės srautą ir suasmeninti turinį. Naudodamiesi šia svetaine sutinkate su mūsų slapukų naudojimu. Privatumo politika
Atmesti Priimti