DELI yra sulfobutilo beta ciklodekstrino 182410-00-0 gamintojas. Mūsų gaminio DMF numeris yra 034773. Įmonės valdymo sistema praėjo ISO 9001:2015 sertifikatą.

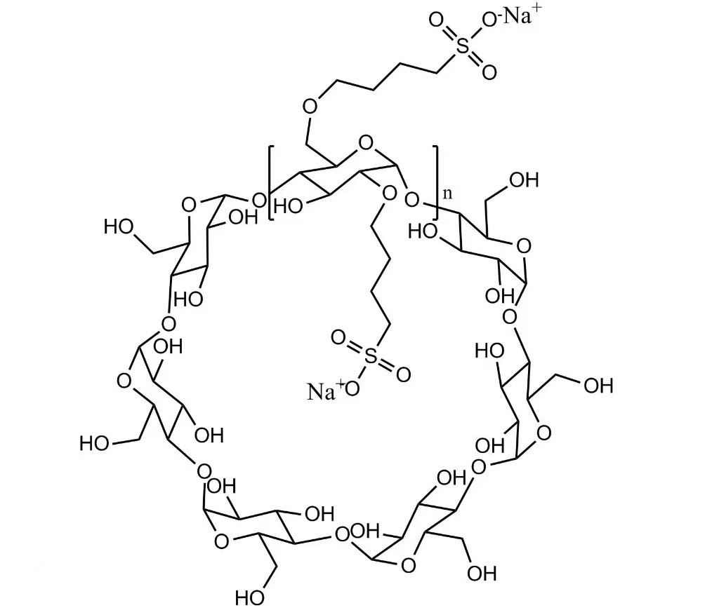
Sulfobutil beta ciklodekstrinas 182410-00-0 yra didelio grynumo anijoninis ciklodekstrino darinys, puikiai tirpus vandenyje. Kaip chemiškai modifikuotas beta ciklodekstrinas, sulfobutil beta ciklodekstrinas 182410-00-0 plačiai naudojamas kaip farmacinė pagalbinė medžiaga, siekiant pagerinti prastai tirpių aktyvių farmacinių ingredientų sudėtį.
Sulfobutil beta ciklodekstrinas 182410-00-0 sudaro stabilius nekovalentinius inkliuzinius kompleksus su vaistų molekulėmis, ypač su azoto turinčiais junginiais. Dėl molekulinės kapsulės sulfobutil beta ciklodekstrinas 182410-00-0 žymiai padidina vaisto tirpumą, stabilumą ir biologinį prieinamumą, kartu pagerindamas formulės saugumą.
Farmacijoje Sulfobutil beta ciklodekstrinas 182410-00-0 padeda sumažinti toksiškumą inkstams, sumažinti hemolizę, kontroliuoti vaistų išsiskyrimo greitį ir užmaskuoti nemalonų kvapą. Dėl šių privalumų Sulfobutil beta ciklodekstrinas 182410-00-0 ypač tinka jautrioms vaisto formoms.
Sulfobutilo beta ciklodekstrinas 182410-00-0 veiksmingai veikia kaip tirpiklis, drėkinantis agentas, kompleksonas (kompleksuojantis agentas) ir daugiavalentis maskavimo agentas. Dėl puikaus biologinio suderinamumo ir saugumo profilio Sulfobutil beta ciklodekstrinas 182410-00-0 plačiai naudojamas injekcinėse, geriamosiose, nosies ir oftalmologinėse farmacinėse kompozicijose.
Kaip svarbų modifikuotą produktą, gautą iš beta ciklodekstrino, sulfobutil beta ciklodekstrinas 182410-00-0 yra nepriklausomai sukurtas ir pagamintas mūsų įmonės. Sulfobutil beta ciklodekstrinas 182410-00-0 daugiausia naudojamas kaip farmacinė pagalbinė medžiaga azoto turinčiose vaistų kompozicijose ir pažangiuose injekciniuose preparatuose.

Xi'an Deli Biochemical Industry Co., Ltd. yra profesionalus gamintojas, kurio specializacija yra ciklodekstrinų ir ciklodekstrino darinių tyrimai, plėtra ir gamyba. Įkurta 1999 m., Xi'an Deli Biochemical Industry Co., Ltd. turi daugiau nei 20 metų farmacijos pagalbinių medžiagų gamybos patirtį ir aptarnauja pasaulines farmacijos, veterinarijos ir chemijos rinkas.
„Xi'an Deli Biochemical Industry Co., Ltd.“ daugiausia dėmesio skiria farmacijos klasės ciklodekstrino produktams, įskaitant sulfobutil beta ciklodekstriną 182410-00-0 ir hidroksipropilo betadeksą. Visi produktai gaminami pagal griežtą kokybės valdymo sistemą ir atitinka tarptautinius farmakopėjos reikalavimus, tokius kaip USP ir EP.
Sulfobutil beta ciklodekstrinas 182410-00-0 Xi'an Deli Biochemical Industry Co., Ltd. valdo stabilias komercinio masto gamybos linijas. Vienos partijos gamybos pajėgumas siekia iki 2,5 metrinių tonų, o metinis gamybos pajėgumas viršija 200 metrinių tonų. Tai užtikrina patikimą tiekimą tiek klinikinei plėtrai, tiek komercinei farmacijos gamybai.
Xi'an Deli Biochemical Industry Co., Ltd. teikia visą techninę ir reguliavimo pagalbą, įskaitant COA, MSDS, stabilumo duomenis ir pagalbą formuluojant. Galima įvertinti nemokamus pavyzdžius, o pasaulinės siuntimo paslaugos palaiko tarptautinius klientus.

CAS Nr.: 182410-00-0
Standartas: EP / USP
Molekulinė formulė: C42H70-nO35·(C4H8SO3Na)n
Specifikacija: 500 g/maišelis; 1 kg / maišelis; 10 kg / maišelis arba būgnas
Kategorija: Farmacinė pagalbinė medžiaga
Sandėliavimas: sandariai uždarytas, sausas konservavimas
Galiojimo laikas: 36 mėn
Sulfobutilo eterio beta ciklodekstrino miltelių injekcinė farmacinė pagalbinė medžiaga
Betadex sulfobutilo eterio natrio druska CAS NR. 182410-00-0
Sulfobutilo eterio beta ciklodekstrino natrio druska
Betadex sulfobutilo eterio natrio injekcijos laipsnis
Betadex sulfobutilo eterio natrio SBECD injekcinė klasė vaistų formoms
Betadex sulfobutilo eterio natrio druska CAS 182410-00-0